How Long Before You Start Losing Muscle and How to Prevent It

Sometimes, due to long vacations, travel, or injuries, you may be unable to train for a week, two weeks, or even longer. Many people, aside from feeling restless, often ask: Will I lose muscle if I don’t work out for a week or two weeks?

Rest is an essential part of any training cycle. But when does muscle atrophy begin after stopping training? And, is there a way to prevent or minimize muscle loss?

There have been quite a few studies on this topic. We’ll discuss one study that tested both beginners and athletes with over three years of training experience. The analysis is divided into three aspects: muscle mass, strength, and endurance.

When Do You Start Losing Muscle Mass?

Muscle Mass

Beginners

Research indicates that muscle starts to shrink after about two weeks without training. Don’t panic—what is lost is mainly the transient hypertrophy effect caused by training, largely due to reduced glycogen and water content in the muscles.

For beginners, we recommend checking out our previous article:5 Common Workout Mistakes That Limit Your Progress

When training resumes, muscle fullness can return very quickly.

Beginner 24-week muscle hypertrophy changes, detraining vs continuing training

In the figure above, you can see muscle hypertrophy over 24 weeks for beginners: the PTR group (black) took 3 weeks off every 6 weeks, while the CTR group (white) continued training without interruption. The final results show minimal difference.

Experienced Lifters (3+ Years)

To prevent overtraining, training cycles often include a deload phase. Appropriate rest can actually help increase muscle mass and strength.

In extreme cases, such as complete bed rest, an adult may lose 1–2 kg of pure muscle mass per week.

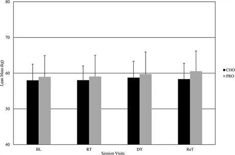
Trained over 3 years: comparison of CHO and PRO after BL, RT, DT, and ReT

In the figure, BL represents baseline, followed by four weeks of training (RT), then a two-week rest (DT), and finally another four weeks of training (ReT). During this period, lean muscle mass did not decrease.

Comparison of muscle mass and muscle circumference loss after one week of bed rest
  • Figure A: muscle weight lost after one week of bed rest
  • Figure B: muscle size lost after one week of bed rest

Strength

Beginners
After three weeks of rest, strength drops noticeably. However, beginners experience a “benefit period” and can quickly regain strength when returning to training.

Note: This benefit mainly comes from neural adaptation, not hypertrophy.

Beginner 24-week muscle strength changes, detraining vs continuing training

Experienced Lifters
Studies show that after three weeks of rest, strength declines more obviously, but thanks to muscle memory, it can recover quickly once training resumes.

Endurance

In studies, beginners who rested four weeks showed little change in endurance data.

For experienced lifters, resting 2–3 weeks can decrease VO₂ max by 7–25%, and resting 3–4 weeks can lower endurance by 4–25%.
Therefore, it’s generally advised not to stop training for more than two weeks if maintaining muscular endurance is a priority.

Comparison of muscle endurance data: post-training vs after 4 weeks of rest
  • The figure above shows endurance data comparing baseline to four weeks of rest.

In summary, here’s a simple takeaway: for beginners, taking a break of one or two weeks—or even a bit longer—does not significantly impact muscle loss.

For more experienced lifters, however, even a one- or two-week hiatus can lead to some muscle shrinkage and strength decline. The good news is that strength usually recovers quickly once training resumes.

Comparatively, extended breaks have the most noticeable effect on muscular endurance.

Now, let’s turn to the second question: “how can we prevent muscle loss?”

It’s worth emphasizing the point we’ve already made: although stopping training for more than six weeks can cause muscle shrinkage and a noticeable drop in strength, muscle memory allows you to regain what you’ve lost in a relatively short period.

So there’s really no need to worry excessively. The reason you can recover so quickly comes down to two things: myonuclei and muscle memory.

How Can We Prevent Muscle Loss?

Myonuclei and Muscle Memory

During strength training, muscles increase their myonuclei, which support growth. The more myonuclei retained during rest, the better.

Studies show that myonuclei can persist for up to 15 years, a phenomenon known as muscle memory.

Schematic diagram of core muscle function
  • Untrained muscles have relatively few myonuclei.
  • Previously trained muscles retain more myonuclei even after shrinking during rest. This allows rapid regrowth when training resumes.

Maintaining Muscle and Strength

Beginners

Myofiber CSA changes in different fiber types with detraining and partial training.

Even 1/3 to 1/9 of normal training volume, once per week, is enough to maintain muscle memory. Studies show that after three weeks off, six weeks of resumed training produces similar 24-week results.

Chest circumference changes after different training modes and detraining.

Experienced Lifters
Eccentric-focused training can prevent excessive muscle loss during breaks.

The above data and images are from Resistance Training-Induced Elevations in Muscular Strength in Trained Men Are Maintained After 2 Weeks of Detraining and Not Differentially Affected by Whey Protein Supplementation and Three Weeks of Detraining Does Not Decrease Muscle Thickness, Strength or Sport Performance in Adolescent Athletes.

Maintaining Endurance

  • Resting more than five weeks leads to rapid endurance decline.
  • If injured, alternative exercises like water-based training, cycling, or rowing can reduce endurance loss.
  • Reduced-volume training (20–70% of normal intensity and frequency) can still maintain endurance.

Summary

By now, you can probably feel a bit more at ease. While taking an extended break can affect muscle mass, the good news is that there are ways to recover quickly or minimize muscle loss with only a “small cost.”

One study I came across compared patients who were given nutritionally complete “pills” versus those who ate regular three meals a day. From a purely nutritional standpoint, the pills should have been equal or even superior. Yet, the results showed that the patients who ate normal meals recovered better.

The researchers concluded that the patients gained not only physical recovery but also enjoyment and satisfaction from a normal diet.

So, don’t get hung up on muscle loss—sometimes it’s far more important to allow yourself a rare break and enjoy the simple pleasure of resting.

A quick tip:

  • Does Ozempic cause muscle loss?
    Generally, it doesn’t directly reduce muscle mass. However, during weight loss, insufficient protein intake could indirectly affect muscle size.
  • Does masturbation cause muscle loss?
    No—it doesn’t affect muscle mass or strength. Short-term sexual activity has no negative impact on training.

Stay in Touch

To follow the best weight loss journeys, success stories and inspirational interviews with the industry's top coaches and specialists. Start changing your life today!

spot_img

Related Articles